1998-2021 ChinaKaoyan.com Network Studio. All Rights Reserved. 沪ICP备12018245号
2026考研复试特训班【1v1个性批改+模拟面试+听口纠音】
根据我校2026年硕士研究生招生考试一志愿考生复试录取情况,我校拟接收第一批调剂复试考生。调剂工作依据《辽宁中医药大学2026年硕士研究生调剂工作办法》进行。现将有关事项通知如下,请考生仔细阅读,严格按照时间及要求做好调剂工作。
1.调剂志愿填报:我校2026年硕士研究生调剂工作通过“全国硕士生招生调剂服务系统”(https://yz.chsi.com.cn/yztj/,以下简称“调剂服务系统”)进行,不接受现场或电话报名,请考生务必注意。
2.填报方式:在“中国研究生招生信息网”(网址:https://yz.chsi.com.cn)中的“全国硕士生招生调剂服务系统”进行调剂志愿填报。
3.填报时间:4月8日00:00-4月8日12:00,逾期将无法填报志愿,视为放弃此次调剂资格。
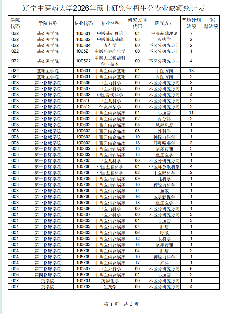
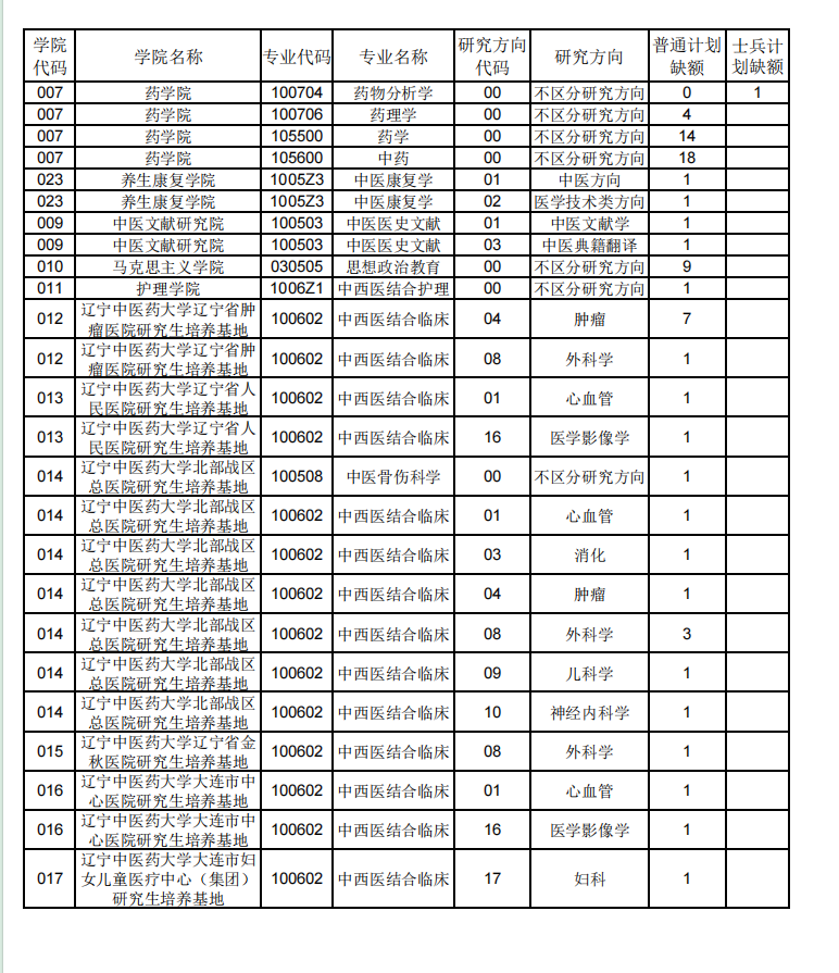
4.调剂生选拔:报名截止后,我校统一对调剂生进行选拔,结合调剂生初试科目情况,按照调剂志愿的分专业(研究方向)初试总成绩由高到低排序,如初试总分相同者,依次按外国语、业务课1、政治理论进行排序。第一批次选拔调剂生的人数上限为分专业所公布缺额的200%,分专业(研究方向)缺额情况请参阅附表。
5.复试通知发放:达到选拔标准的调剂生,我校将通过调剂系统发放复试通知,自通知发放后的8小时内,调剂生接受复试通知即视为调剂成功,逾期不确认者视为放弃复试资格,未达到选拔标准的调剂生,我校统一将调剂志愿解锁。
6.调剂名单公布:调剂选拔完成后,我校将于研究生院官网公布调剂成功的复试名单,复试工作采取现场复试的方式进行。
7.注意事项:申请调剂我校的考生每次只能填报我校一个志愿,同时报我校多个志愿的考生不纳入我校调剂考生选拔范围,我校调剂志愿锁定时间不超过36小时。调剂生复试及录取工作参照《辽宁中医药大学2026年全国硕士研究生招生复试录取工作方案》进行。
我校调剂相关信息将在研究生院官网发布,敬请关注。
联系人:蔡老师 谷老师
联系电话:024-31207065

温馨提示:该信息自网络渠道整理,未一一甄别其有效真实性,若有意向,请查看院校或联系老师核实。若有不妥,请联系我们删除。删除请联系 tiaoji@163.com
考研调剂课程推荐 > >

当前关注此学校的用户
公众号:考研信息网
查国家线、研究生调剂